沈阳生态所在冻融循环影响温带森林树木生长研究取得重要进展
在全球变暖背景下,极端气候事件日益频发,不仅夏季干旱等“缺水事件”增多,冬季气温在0℃上下频繁波动产生的冻融循环现象也愈发常见。冬季冻融循环可通过诱导木质部形成气穴化栓塞等过程,破坏温带森林树木的导水系统,进而影响其正常生长和存活。此外,上述气象因素如何与局域生境(如邻域竞争)共同影响树木生长,以及不同物种如何通过自身功能性状适应这些变化,目前仍不清楚,这极大限制了气候变化背景下对温带森林动态及其碳汇功能的准确预测。
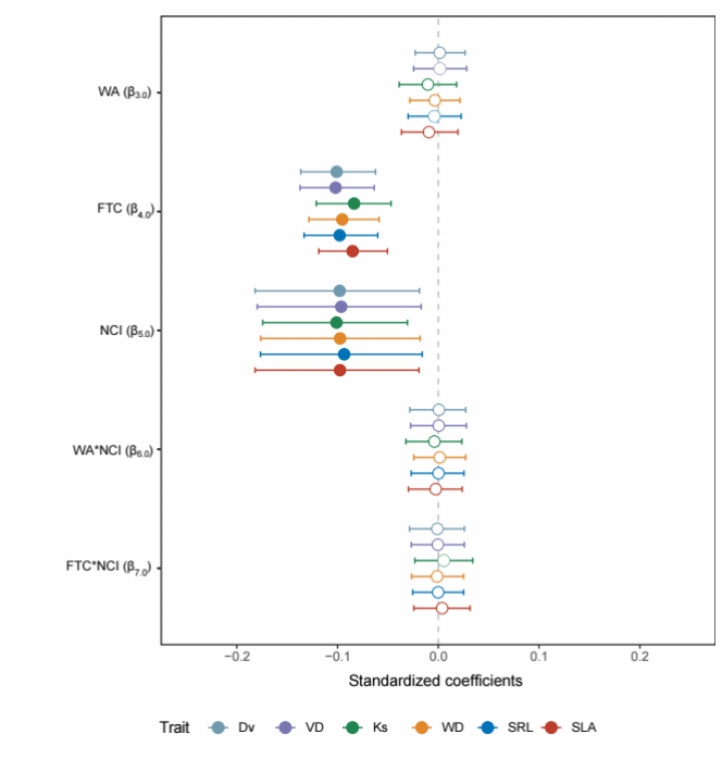
围绕上述科学问题,森林生物多样性与生态系统功能团队,依托在长白山建立的25公顷阔叶红松林样地,选取了20种代表性落叶阔叶树种的593株个体,利用树木带状生长环连续监测了8年(2010–2017年)的径向生长动态。在此基础上,测定了比叶面积、木材密度、比根长、木质部导管直径、导管密度和木质部导水率等6个关键功能性状指标,并量化了三个核心环境因子:(1)冬季冻融循环频率(FTC):利用样地附近气象站逐小时气温数据,统计每年从前一年10月至当年5月气温跨越0℃的次数,作为冬季冻融循环事件强度指标;(2)夏季水分可利用性(WA):采用5–10月的标准化降水蒸散指数(SPEI)表征生长季水分状况,用于衡量“夏季干旱—湿润”的年际差异;(3)树木邻域竞争指数(NCI):以20 m半径内邻近树木的胸径和距离构建邻域竞争指数,反映邻域竞争强度。通过构建分层贝叶斯模型,系统量化了上述气象因素、邻域竞争及功能性状对温带森林树木生长动态的综合影响。
研究发现,冬季冻融越频繁,树木生长速率越低,而夏季水分可利用性对生长并未表现出显著影响。这表明在水分相对充沛的湿润温带地区,冬季冻融循环诱发的导水失效,比典型生长季干旱对树木生长的限制作用更强。在局域环境方面,邻域竞争普遍抑制树木生长(尤其是小树),但其与冻融循环的影响相互独立。进一步结合功能性状分析发现,不同树种在“生长速率”与“抗逆性”之间存在明显的权衡关系:获取型树种(即具有较高木质部导水效率、较低木材密度和较低比叶面积等特性)的生长速率快,但在冬季频繁冻融条件下其导水系统更易受损,对冻融循环更敏感;相反,保守型树种(即具有较高木材密度、较低导水效率和较高比叶面积等特性)在生长速率上相对较慢,却在冻融循环胁迫下表现出更强的抵抗能力。

图1.夏季水资源可用性(WA)、冬季冻融循环(FTC)、邻近拥挤度(NCI)及其相互作用对树木生长速率的影响。
该研究首次在温带成熟森林中,揭示了冬季冻融、夏季水分和邻域竞争对树木生长的相对作用,明确了功能性状对植物适应性的调节机制。本研究结果强调了在评估温带森林对气候变化的响应时,不应只聚焦夏季干旱,更应重视冬季冻融事件。同时,在森林经营与保护实践中,需要综合考虑林分密度控制与物种功能性状配置,以增强森林整体的气候适应力和碳汇稳定性。
该研究成果以“Functional traits shape tree growth response to winter freeze-thaw cycle and neighborhood crowding in humid temperate forests”为题发表在国际期刊Agricultural and Forest Meteorology上,沈阳生态所特别研究助理任静和房帅副研究员为共同第一作者,王绪高研究员为通讯作者。合作者包括沈阳生态所郝广友研究员以及法国农业科学院Claire Fortunel教授等。该研究得到了国家重点研发计划、国家自然科学基金委项目、辽宁省优秀青年科学基金等资助。

| 版权声明: 1.依据《服务条款》,本网页发布的原创作品,版权归发布者(即注册用户)所有;本网页发布的转载作品,由发布者按照互联网精神进行分享,遵守相关法律法规,无商业获利行为,无版权纠纷。 2.本网页是第三方信息存储空间,阿酷公司是网络服务提供者,服务对象为注册用户。该项服务免费,阿酷公司不向注册用户收取任何费用。 名称:阿酷(北京)科技发展有限公司 联系人:李女士,QQ468780427 网络地址:www.arkoo.com 3.本网页参与各方的所有行为,完全遵守《信息网络传播权保护条例》。如有侵权行为,请权利人通知阿酷公司,阿酷公司将根据本条例第二十二条规定删除侵权作品。 |
m.quanpro.cn